304am永利集团(中国)有限公司-Official Website
首页
关于我们
304am永利集团简介
历史沿革
现任领导
委员会
学术委员会
教学委员会
财务工作委员会
行政机构
党政办公室
教学办公室
员工工作办公室
团队队伍
动物科学系
教授
副教授
讲师及其他
动物医学系
教授
副教授
讲师及其他
水产养殖系
教授
副教授
讲师及其他
实验中心
副教授(级)
讲师及其他
教授
人才培养
本科生培养
专业介绍
培养方案
课程大纲
规章制度
常用文档
公司产品
招生简章
导师简介
培养方案
常用文档
科学研究
科研平台
科研项目
科研成果
创新团队
政策文件
党群工作
理论学习
党建动态
规章制度
公司工会
工会要闻
教工风采
党员发展
党群服务
员工工作
工作制度
员工日常管理
奖助学金管理
研究生管理
员工组织
员工会组织
员工会成员
学风建设
学子风采
优秀学子展示
优秀学子新闻
团学党建
就业信息
招聘信息
就业指导
就业基地建设
表格下载
服务指南
社会服务
技术推广
成果转化
项目合作
专业扶贫
联合培养
技术培训
规章制度
合作企业
国际交流
交流项目
规章制度
员工之家
员工动态
员工名录
本科生
研究生
员工风采
图映岁月
捐赠信息
捐赠鸣谢
院情总览
当前位置: 首页 · 院情总览 · 通知公告 · 正文
304am永利集团新闻
通知公告
员工动态
教学工作
员工园地
党群工作
在线课程
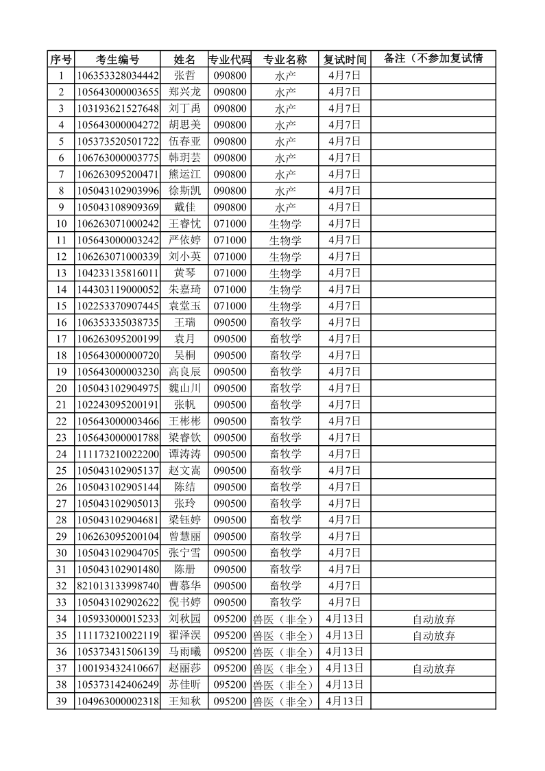
关于2023年硕士研究生招生调剂复试考生名单公示
发布日期:2023-04-07 08:42:52 点击数: